Azadiractina A: dalle origini ai giorni nostri
Una molecola alla volta: ricavata dall'albero Azadirachta indica, l'azadiractina A ha guadagnato crescente attenzione negli ultimi anni, potendosi impiegare sia come nematocida, sia come insetticida contro una molteplicità di parassiti
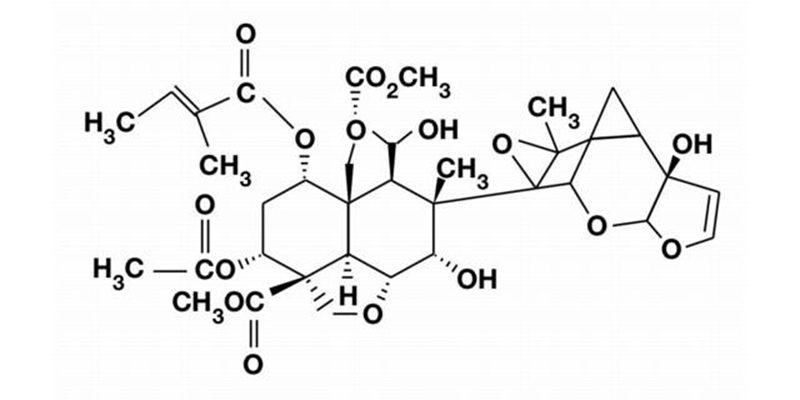
Una molecola alla volta: l'azadiractina A
Fonte immagine: AgroNotizie® (modificata)
Poliedrica e multitasking, azadiractina A è una sostanza attiva conosciuta da decenni, essendo stata isolata nel 1968 dagli estratti a loro volta ricavati da Azadirachta indica, nota anche come albero di Neem. Questa pianta arborea appartiene alla famiglia delle meliacee ed è tipicamente diffusa nei Paesi orientali quali India, Bangladesh, Birmania, Cambogia, Laos, Thailandia e Vietnam.
Radici storiche millenarie
Citati persino da Plinio il Vecchio (23 d.C. - 79 d.C.), gli estratti di Neem sono noti da tempo immemore, soprattutto in India, ove vengono impiegati anche in medicina umana contro alcune malattie della pelle, dei denti o delle gengive. In alcuni casi, gli estratti dell'albero di Neem venivano e vengono usati anche come antielmintici. Interessante aspetto, questo, visto che questi parassiti intestinali si dividono in tre gruppi, ossia i cestodi, i trematodi e, appunto, i nematodi. Un tipo di parassita che attacca anche le piante coltivate.
Solo negli anni '50, però, un entomologo tedesco, Heinrich Schmutterer (1926 - 2022), ne individuò le specifiche attività insetticide, aprendo quindi la strada a ulteriori ricerche più mirate che portarono alla ribalta questa sostanza attiva.
Limonoidi: molecole complesse
I semi di Azadirachta indica contengono significative concentrazioni di limonoidi, triterpenoidi che sono però presenti anche in foglie e corteccia, sebbene a concentrazioni inferiori. I limonoidi, oltre che nelle meliacee, si trovano peraltro in altre piante arboree, a partire dagli agrumi e da altre specie appartenenti alla famiglia delle rutacee. Trattasi di composti organici naturali dalla struttura molecolare alquanto complessa.

Struttura molecolare di azadiractina A con i suoi molteplici gruppi funzionali
(Fonte: Fitogest®)
Azadiractina A: il limonoide che serve
Fra queste molecole rientra anche azadiractina A, sostanza attiva che sta incontrando crescenti interessi nella difesa delle piante coltivate, sia per la sua attività nei confronti dei nematodi, sia per la capacità di contrastare le proliferazioni di numerosi artropodi parassiti, soprattutto di quelli ad apparato boccale pungente succhiante quali afidi, tripidi, cocciniglie, cicaline, aleurodidi e cimici, ma anche lepidotteri fillominatori, nottue, tignole, dorifora, elateridi e ditteri come la mosca dell'olivo e della frutta. Quindi etichette che possono essere molto ampie, sia per colture, sia in quanto a parassiti.
La sua elevata sistemia lo rende applicabile sia per via fogliare sia tramite fertirrigazione, potendo agire quindi con la duplice veste di nematocida insetticida, mentre il suo meccanismo d'azione lo classifica come regolatore di crescita, interferendo con i processi ormonali degli insetti. Inoltre, offre una significativa azione antifeedant nei confronti dei parassiti.
Profilo tossicologico di azadiractina A
Azadiractina A offre un profilo tossicologico favorevole, con la tossicità acuta su roditori (DL 50) e su uccelli che cade oltre i 5mila milligrammi/chilo, quindi molto bassa. Anche verso lombrichi, pesci e api la sostanza attiva pone rischi alquanto modesti, essendo velocemente metabolizzata nel terreno dal microbioma terricolo. Per tali ragioni azadiractina A gode quindi di un favorevole profilo ambientale.
Inoltre, non sono segnalate prove di mutagenesi e di teratogenesi (non stupisce, visti gli usi plurisecolari degli estratti di Neem su esseri umani), come pure risulta selettiva nei confronti di vari artropodi utili fra i quali fitoseidi, coccinelle, Orius e Trichogramma.
I formulati a base di azadiractina A
Un punto chiave per assicurare la qualità di un formulato risiede nella fase di estrazione e purificazione di azadiractina A. Proprio perché questa molecola è solo una fra le tante sostanze presenti negli estratti di Azadirachta indica, la sua purificazione gioca un ruolo fondamentale nella realizzazione del prodotto tecnico dal quale si ricaveranno in seguito i formulati commerciali.
Al momento risultano su Fitogest® 12 formulati commerciali contenenti azadiractina A, presente in ragione di 10 oppure di 26 grammi per litro: sette le formulazioni a 10 grammi/litro e cinque quelle a 26 grammi/litro. I concentrati emulsionabili rappresentano la quasi totalità delle formulazioni. Delle formulazioni censite, però, non tutte risultano attualmente distribuite commercialmente da qualche azienda. Nel senso che molte sono registrazioni attive che però non sono state messe a catalogo da alcuno. Almeno per ora.
Per visionare i prodotti commerciali
Cliccando sul nome della sostanza attiva, azadiractina A, si giunge alla pagina dalla quale è possibile visionare i diversi formulati attualmente inseriti in banca dati. Nelle etichette ministeriali sono infine riportati i parassiti controllati, le colture autorizzate e gli specifici dosaggi.
Come d'uso, si consiglia sempre di verificare puntualmente le specifiche di ogni etichetta, al fine di essere sicuri di non commettere errori che poi si pagherebbero all'inserimento nel quaderno di campagna.